BJT Frekuensi Menengah
BAHAN PRESENTASI UNTUK MATAKULIAH ELEKTONIKA 2017
DOSEN PENGAMPU : DARWISON, M.T
Gambar 1.1 Common Emitter
2. Common Collector (Emitter follower) yaitu memakai bersama kaki collector untuk input dan output seperti gambar 1.2.
Gambar 1.2 Common Collector
3. Common Base yaitu memakai bersama kaki base untuk input dan output seperti gambar 1.3
Gambar 1.3 Common Base
Pengaruh frekuensi pada rangkaian transistor yang dikelompokkan dalam tiga kelompok yaitu:
1. Pada frekuensi rendah, menghasilkan reaktansi kapasitor menjadi cukup besar sesuai rumus sehingga ada tegangan yang cukup berarti pada C.
2. Pada frekuensi menengah, menghasilkan reaktansi kapasitor menjadi cukup kecil atau dianggap short circuit.
3. Pada frekuensi tinggi, sama seperti pada frekuensi menengah yang menghasilkan reaktansi kapasitor menjadi kecil atau dianggap short circuit.
Adapun rangkaian CE Amp. adalah seperti pada gambar 2.1
Gambar 2.1 Rangkaian Common Emitter Amp.
Rangkaian ekivalen hybrid л untuk rangkaian transistor yang dioperasikan pada frekuensi menengah dapat dibuat dengan men-short circuit suplai dan semua kapasitor. Adapun rangkaian ekivalen hybrid л untuk CE Amplifier adalah seperti pada gambar 2.2
Gambar 2.2 Rangkaian ekivalen hybrid л untuk rangkaian CE Amp.
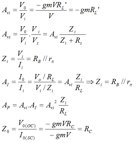
Dari rangkaian ekivalen diatas dapat diturunkan rumus-rumus sebagai berikut.
dimana Vi =V,
sehingga,
Gambar 3.1 Rangkaian Common Emitter Amp
Adapun rangkaian ekivalen hybrid л untuk CC Amplifier adalah seperti pada gambar 3.2
Gambar 3.2 Rangkaian ekivalen hybrid л untuk rangkaian CC Amp
Dari rangkaian ekivalen diatas dapat diturunkan rumus-rumus sebagai berikut.
dimana Vi=V+Vo dan V=Ib.rл, gmV = gm . rл. Ib = βo. Ib
sehingga,
Untuk mencari Impedansi output Zo maka rangkaian ekivalen hybrid л menjadi seperti gambar 3.3
Gambar 3.3 Rangkaian ekivalen hybrid л untuk mencari Zo
Gambar 4.1 Rangkaian Common Base Amp
Gambar 4.2 Rangkaian ekivalen hybrid л untuk rangkaian CB Amp.
Dari rangkaian ekivalen diatas dapat diturunkan rumus-rumus sebagai berikut.
dimana Vi = -V, dan βo =gm.r л
sehingga,
Untuk ketiga konfigurasi ini akan menghasilkan nilai Impendansi input (Zi) dan Impendansi output (Zo) sebagai berikut:
1. CE Amp. -> Zi > (besar), Z0 > (besar)
2. CB Amp. -> Zi < (kecil) , Z0 >(besar)
3. CC Amp. -> Zi >(besar) , Z0 <(kecil)
Diket : Emitter Follower (CC) Amp.
RS = 3 kΩ AI = 40
rπ = 10 kΩ RB = 20 kΩ
gm = 20 m/Ω Z0 = 60
Ditanya : RE dan RL
Jawab :
Adapun rangkaian dan rangkaian ekivalen hybrid л CC (Emitter Follower) Amp. adalah seperti pada gambar 5.1
Gambar 5.1 Rangkaian CC Amp dan rangkaian ekivalen hybrid л–nya.
Silahkan di download disini
7. Rangkaian[kembali]
silahkan didownload disini, untuk melihat rangkaian yang ada diatas (Multisim 13)
silahkan didownload disini, untuk melihat rangkaian yang ada diatas (Multisim 13)
DAFTAR PUSTAKA
1. Boylestad, R. and Nashelsky, L., 1999, “Electronic Devices and Circuit Theory”, Prentice Hall, New Jersey.
2. Hayt, W. H. and Neudeck, G. W., “Electronic Circuit Analysis and Design”, Houghton Mifflin Company, Boston.
3. Coughlin, R. F. and Driscoll F. F., 1985, “Operational Amplifiers and Linear Integrated Circuits”, Prentice Hall, New Jersey.
4. Paynter, R. T.,1997, ”Introductory Electronic Devices and Circuits”, Prentice Hall, New Jersey.
5. Malvino, 1985, “ Aproksimasi Rangkaian Semikonduktor: Pangantar Transistor dan Rangkaian Terpadu”, Penerbit Erlangga.
6. Mike Tooley, 2002, “ Rangkain Elektronika: Prinsip dan Aplikasi”, Penerbit Erlangga
7. Darwison, 2008, “Diktat Elektronika Analog”, Teknik Elektro – Unand, Padang.
8. Darwison, 2011, “Diktat Dasar Elektronika”, Teknik Elektro – Unand, Padang.
Darwison, 2011, “Panduan Praktikum Dasar Elektronika Digital”, Teknik Elektro – Unand, Padang.
















Tidak ada komentar:
Posting Komentar